1.问:无住所个人(不含高管人员)取得工资薪金所得,如何划分境内所得和境外所得?
答:个人所得税法实施条例第三条第(一)项规定,因任职、受雇、履约等在境内提供劳务取得的所得属于来源于境内的所得。
无住所个人流动性强,可能在境内、境外同时担任职务,分别取得收入,为明确境内、境外工资薪金所得划分问题,《财政部 税务总局关于非居民个人和无住所居民个人有关个人所得税政策的公告》(财政部 税务总局公告2019年第35号,以下简称《公告》)规定,个人取得归属于境内工作期间的工资薪金所得为来源于境内的工资薪金所得。境内工作期间按照个人在境内工作天数计算,境外工作天数按照当期公历天数减去当期境内工作天数计算。无住所个人在境内、境外单位同时担任职务或者仅在境外单位任职,且当期同时在境内、境外工作的,按照工资薪金所属境内、境外工作天数占当期公历天数的比例,计算确定来源于境内、境外工资薪金所得的收入额。
另需说明,境内工作天数与在境内实际居住的天数并不是同一个概念。《公告》规定,境内工作天数包括其在境内的实际工作日以及境内工作期间在境内、境外享受的公休假、个人休假、接受培训的天数。无住所个人未在境外单位任职的,无论其是否在境外停留,都不计算境外工作天数。
2.问:高管人员取得报酬,如何划分境内所得和境外所得?
答:按照个人所得税法实施条例规定,因任职、受雇、履约等在境内提供劳务取得的所得属于境内所得,但对担任董事、监事、高层管理职务的无住所个人(以下称高管人员),其境内所得判定的规则与一般无住所雇员不同。高管人员参与公司决策和监督管理,工作地点流动性较大,不宜简单按照工作地点划分境内和境外所得。对此,《公告》规定,高管人员取得由境内居民企业支付或负担的报酬,不论其是否在境内履行职务,均属于来源于境内的所得,应在境内缴税。对高管人员取得不是由境内居民企业支付或者负担的报酬,仍需按照任职、受雇、履约地点划分境内、境外所得。
3.问:无住所个人取得数月奖金、股权激励所得,如何划分境内所得和境外所得?
答:数月奖金是指无住所个人一次取得归属于数月的奖金(包括全年奖金)、年终加薪、分红等工资薪金所得,不包括每月固定发放的奖金及一次性发放的数月工资。
股权激励包括股票期权、股权期权、限制性股票、股票增值权、股权奖励以及其他因认购股票等有价证券而从雇主取得的折扣或补贴。
数月奖金和股权激励属于工资薪金所得,无住所个人取得数月奖金、股权激励,均应按照工资薪金所得来源地判定规则划分境内和境外所得。《公告》针对数月奖金和股权激励的特殊情形,在工资薪金所得来源地判定规则基础上,进一步细化规定:
一是无住所个人在境内履职或者执行职务时,收到的数月奖金或者股权激励所得,如果是归属于境外工作期间的所得,仍为来源于境外的工资薪金所得。
二是无住所个人停止在境内履约或执行职务离境后,收到归属于其在境内工作期间的数月奖金或股权激励所得,仍为来源于境内的所得。
三是无住所个人一个月内从境内、境外单位取得多笔数月奖金或者股权激励所得,且数月奖金或者股权激励分别归属于不同期间的,应当按照每笔数月奖金或者股权激励的归属期间,分别计算每笔数月奖金或者股权激励的收入额后,然后再加总计算当月境内数月奖金或股权激励收入额。
需要说明的是,高管人员取得的数月奖金、股权激励,按照高管人员工资薪金所得的规则,划分境内、境外所得。
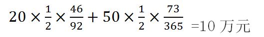
举例:A先生为无住所个人,2020年1月,A先生同时取得2019年第四季度(公历天数92天)奖金和全年奖金。假设A先生取得季度奖金20万元,对应境内工作天数为46天;取得全年奖金50万元,对应境内工作天数为73天。两笔奖金分别由境内公司、境外公司各支付一半。(不考虑税收协定因素)
2020年度,A先生在中国境内居住天数不超过90天,为非居民个人,A先生仅就境内支付的境内所得,计算在境内应计税的收入。A先生当月取得数月奖金在境内应计税的收入额为:

4.问:无住所个人取得工资薪金所得,如何计算在境内应计税的收入额?
答:根据所得来源地规则,无住所个人取得的工资薪金所得,可分为境内和境外工资薪金所得;在此基础上,根据支付地不同,境内工资薪金所得可进一步分为境内雇主支付或负担(以下称境内支付)和境外雇主支付(以下称境外支付)所得;境外工资薪金所得也可分为境内支付和境外支付的所得。综上,无住所个人工资薪金所得可以划分为境内支付的境内所得、境外支付的境内所得、境内支付的境外所得、境外支付的境外所得等四个部分。
无住所个人根据其在境内居住时间的长短,确定工资薪金所得纳税义务范围。例如,境内居住不超过90天的无住所个人取得的工资薪金所得,仅就境内支付的境内所得计算应纳税额;居住超过90天不满183天的无住所个人取得的工薪所得,应就全部境内所得(包括境内支付和境外支付)计算应纳税额。
个人所得税法修改前,无住所个人取得工资薪金所得,采取“先税后分”方法计算应纳税额,即先按纳税人从境内和境外取得的全部工资薪金所得计算应纳税额,再根据境内外工作时间及境内外收入支付比例,对税额进行划分,计算确定应纳税额。
个人所得税法修改后,无住所居民个人的工资薪金所得应并入综合所得,不再单独计算税额,难以继续采取“先税后分”的方法,《公告》将计税方法调整为“先分后税”,即先根据境内外工作时间及境内外收入支付比例,对工资薪金收入额进行划分,计算在境内应计税的工资薪金收入额,再据此计算应纳税额。计税方法调整后,无住所个人仅就其在境内应计税的收入额确定适用税率,降低了适用税率和税负,计税方法更加合理。
无住所个人境内计税的工资薪金收入额的计算,具体分为以下四种情况:
情况一:无住所个人在境内居住不超过90天的,其取得由境内支付的境内工作期间工资薪金收入额为在境内应计税的工资薪金收入额。
情况二:无住所个人在境内居住时间累计超过90天不满183天的,其取得全部境内所得(包括境内支付和境外支付)为在境内应计税的工资薪金收入额。
情况三:无住所个人在境内居住累计满183天的年度连续不满六年的,符合实施条例第四条规定优惠条件的,境外支付的境外所得不计入在境内应计税的工资薪金收入额,免予缴税;全部境内所得(包括境内支付和境外支付)和境内支付的境外所得为在境内应计税的工资薪金收入额。
情况四:无住所个人在境内居住累计满183天的年度连续满六年后,不符合实施条例第四条规定优惠条件的,其从境内、境外取得的全部工资薪金所得均计入在境内应计税的工资薪金收入额。
对于无住所个人一个月内取得多笔对应不同归属工作期间的工资薪金所得的,应当按照每笔工资薪金所得的归属期间,分别计算每笔工资薪金在境内应计税的收入额,再加总计算为当月工资薪金收入额。
税收协定另有规定的,可以按照税收协定的规定办理。
5.问:无住所个人为高管人员的,取得工资薪金所得如何计算在境内应计税的收入额?
答:《公告》规定,高管人员取得境内支付或负担的工资薪金所得,不论其是否在境内履行职务,均属于来源于境内的所得。高管人员为居民个人的,其工资薪金在境内应计税的收入额的计算方法与其他无住所居民个人一致;高管人员为非居民个人的,取得由境内居民企业支付或负担的工资薪金所得,其在境内应计税的工资薪金收入额的计算方法,与其他非居民个人不同,具体如下:
情况一:高管人员一个纳税年度在境内居住时间不超过90天的,将境内支付全部所得都计入境内计税的工资薪金收入额。
情况二:高管人员一个纳税年度在境内累计居住超过90天不满183天的,就其境内支付的全部所得以及境外支付的境内所得计入境内计税的工资薪金收入额。
税收协定另有规定的,可以按照税收协定的规定办理。
6.问:无住所居民个人取得综合所得,如何计算缴税?
答:《公告》规定,无住所居民个人取得综合所得,年度终了后,应将年度工资薪金收入额、劳务报酬收入额、稿酬收入额、特许权使用费收入额汇总,计算缴纳个人所得税。需要办理汇算清缴的,依法办理汇算清缴。
无住所居民个人在计算综合所得收入额时,可以享受专项附加扣除。其中,无住所居民个人为外籍个人的,2022年1月1日前计算工资薪金收入额时,可以选择享受住房补贴、子女教育费、语言训练费等八项津补贴优惠政策,也可以选择享受专项附加扣除政策,但二者不可同时享受。
7.问:非居民个人取得数月奖金或股权激励,如何计算个人所得税?
答:按照个人所得税法规定,非居民个人取得工资薪金所得,按月计算缴纳个人所得税。其取得数月奖金或股权激励,如果也按月征税,可能存在税负畸高的问题,从公平合理的角度出发,应允许数月奖金和股权激励在一定期间内分摊计算纳税。考虑到非居民个人在一个年度内境内累计停留时间不超过183天,即最长约为6个月,因此,《公告》规定,非居民个人取得数月奖金或股权激励,允许在6个月内分摊计算税额。既降低了税负,也简便易行。
非居民个人取得数月奖金的,应按照《公告》规定计算境内计税的工资薪金收入额,不与当月其他工资薪金收入合并,按6个月分摊,不减除费用,适用月度税率表计算应纳税额。分摊计税方法,每个非居民个人每一纳税年度只能使用一次。
非居民个人取得股权激励的,应按照《公告》规定计算境内计税的工资薪金收入额,不与当月其他工资薪金收入合并,按6个月分摊,不减除费用,适用月度税率表计算应纳税额。非居民个人在一个纳税年度内取得多笔股权激励所得的,应当合并计算纳税。
无住所居民个人取得全年一次性奖金或股权激励所得的,按照《财政部税务总局关于个人所得税法修改后有关优惠政策衔接问题的通知》(财税〔2018〕164号)的有关规定执行。
举例:B先生为无住所个人,2020年在境内居住天数不满90天,2020年1月,B先生取得境内支付的股权激励所得40万元,其中归属于境内工作期间的所得为12万元,2020年5月,取得境内支付的股权激励所得70万元,其中归属于境内工作期间的所得为18万元,计算B先生在境内股权激励所得的纳税情况。(不考虑税收协定因素)
2020年1月,B先生应纳税额=[(120000÷6)×20%-1410]×6=15540元
2020年5月,B先生应纳税额={[(120000+180000]÷6)×30%-4410}×6-15540=48000元
8.问:无住所个人如何享受税收协定的待遇?
答:《公告》规定,无住所个人按照税收协定(包括内地与香港、澳门签订的税收安排)居民条款为缔约对方税收居民(以下简称对方税收居民)的,即使其按照税法规定为中国税收居民,也可以按照税收协定的规定,选择享受税收协定条款的优惠待遇。主要优惠待遇包括:
一是境外受雇所得协定待遇。根据税收协定中受雇所得条款,对方税收居民个人在境外从事受雇活动取得的受雇所得,可不缴纳个人所得税,仅将境内所得计入境内计税的工资薪金收入额,计算缴纳个人所得税。
二是境内受雇所得协定待遇。根据税收协定中受雇所得条款,对方税收居民个人在税收协定规定的期间内境内停留天数不超过183天的,从事受雇活动取得受雇所得,只将境内支付的境内所得计入境内计税的工资薪金收入额,计算缴纳个人所得税。
三是独立个人劳务或者营业利润协定待遇。根据税收协定中独立个人劳务或者营业利润条款,对方税收居民取得独立个人劳务所得或者营业利润,符合税收协定规定条件的,可不缴纳个人所得税。
四是董事费条款规定。对方税收居民为高管人员,取得的董事费、监事费、工资薪金及其他类似报酬,应优先适用税收协定董事费条款相关规定。如果对方税收居民不适用董事费条款的,应按照税收协定中受雇所得(非独立个人劳务)、独立个人劳务或营业利润条款的规定处理。
五是特许权使用费或者技术服务费协定待遇。根据税收协定中特许权使用费条款或者技术服务费条款,对方税收居民取得特许权使用费或技术服务费,应按不超过税收协定规定的计税所得额和征税比例计算纳税。《公告》规定,无住所居民个人在根据税收协定的居民条款被判定为对方税收居民,并选择享受协定待遇时,可按照税收协定规定的计税所得额和征税比例单独计算应纳税额,不并入综合所得计算纳税。
按照国内税法判定为居民个人的,可以在预扣预缴和汇算清缴时按规定享受协定待遇,按照国内税法判定为非居民个人的,可以在取得所得时享受协定待遇。
9.问:年度首次申报时,无住所个人如何判定是居民个人还是非居民个人?
答:年度首次申报时,无住所个人在境内的实际居住天数不满183天,暂时无法确定其为居民个人还是非居民个人。为降低纳税人的税收遵从成本,《公告》赋予无住所个人预先选择税收居民身份的权利。具体是,无住所个人在一个纳税年度内首次申报时,应当根据合同约定等情况自行判定是居民个人或非居民个人,并按照有关规定进行申报。当预计情况与实际情况不符的,无住所个人再按照《公告》规定进行调整。
10.问:无住所个人在境内任职,取得由境外单位支付的工资薪金所得,境内雇主应履行什么义务?
答: 无住所个人在境内任职、受雇取得的工资薪金所得,有的是由其境内雇主的境外关联方支付的。在此情况下,尽管境内雇主不是工资薪金的直接支付方,为便于纳税遵从,根据《公告》的有关规定,无住所个人可以选择在一个纳税年度内自行申报缴纳税款,或者委托境内雇主代为缴纳税款。对于无住所个人未委托境内雇主代为缴纳税款的,境内雇主负有报告义务,应当在相关所得支付当月终了后15日内向主管税务机关报告相关信息。
无住所个人选择委托境内雇主代为缴纳税款的,境内雇主应当比照《个人所得税扣缴申报管理办法(试行)》(国家税务总局公告2018年第61号)第六条和第九条有关规定计算应纳税款,填写《个人所得税扣缴申报表》,并于相关所得支付当月终了后15日内向主管税务机关办理纳税申报。无住所个人选择自行申报缴纳税款的,应当比照《个人所得税扣缴申报管理办法(试行)》(国家税务总局公告2018年第61号)第九条有关规定计算应纳税款,填写《个人所得税自行纳税申报表(A表)》,并于取得相关所得当月终了后15日内向其境内雇主的主管税务机关办理自行纳税申报。
11.问:在中国境内有住所个人的“住所”是如何判定的?
答:税法上所称“住所”是一个特定概念,不等同于实物意义上的住房。按照个人所得税法实施条例第二条规定,在境内有住所的个人,是指因户籍、家庭、经济利益关系而在境内习惯性居住的个人。习惯性居住是判定纳税人是居民个人还是非居民个人的一个法律意义上的标准,并不是指实际的居住地或者在某一个特定时期内的居住地。对于因学习、工作、探亲、旅游等原因而在境外居住,在这些原因消除后仍然回到中国境内居住的个人,则中国为该纳税人的习惯性居住地,即该个人属于在中国境内有住所。
对于境外个人仅因学习、工作、探亲、旅游等原因而在中国境内居住,待上述原因消除后该境外个人仍然回到境外居住的,其习惯性居住地不在境内,即使该境外个人在境内购买住房,也不会被认定为境内有住所的个人。